Хиты продаж
Артрорелиф с хондроитином 5% гель для тела 50 мл 1 шт
313 ₽
В корзине
PILULI Аскорбинка Life Ascorbic acid 400 мг порошок пакеты массой 2,5 г 10 шт
134 ₽
149 ₽
В корзине
Хиты продаж
PILULI Омега 3 35%/Океаника Омега 3 35% капсулы массой 1400 мг 30 шт
362 ₽
403 ₽
В корзине
Хиты продаж
Ducray Elution Мягкий балансирующий шампунь 200 мл 1 шт
Доставка сегодня
Плати частями Плати частями
1 519 ₽
В корзине
Хиты продаж
Хиты продаж
Контактные линзы Biotrue ONEday 30 шт / -2.50/8.6/14.2
Доставка сегодня
Плати частями Плати частями
1 710 ₽
2 110 ₽
В корзине
Хиты продаж
Ла-Кри Мама масло д/проф. образования растяжек 200 мл 1 шт
970 ₽
В корзине
Ла-Кри Гель моющий 200 мл 1 шт
Доставка сегодня
Плати частями Плати частями
510 ₽
В корзине
Хиты продаж
Фрост/Frost Заморозка спортивная спрей 400 мл 1 шт
Доставка сегодня
Плати частями Плати частями
745 ₽
В корзине
Хиты продаж
Глюкометр Контур Плюс (Contour Plus) 1 шт
Доставка сегодня
Плати частями Плати частями
999 ₽
В корзине
Ингалятор Omron NE-C21 Basic (NE-C803-RU) компрессорный 1 шт
Доставка сегодня
Плати частями Плати частями
3 369 ₽
В корзине

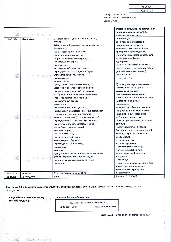
Кальция глюконат таблетки 500 мг 20 шт

10 отзывов
Арт. 251280

Производитель: Фармстандарт-Лексредства, Россия

Действующее вещество: Кальция глюконат

Срок годности: Длинный срок

Доступна оплата онлайн
Цена 42 ₽
В корзине
+
Количество ограничено В наличии только 24 шт.

В наличии

Цена действительна при оформлении онлайн
При температуре не выше 25 ˚С. Хранить в недоступном для детей месте.

Инструкция по применению

Состав

1 таблетка содержит кальция глюконата 500 мг.


Фармакологическое действие

Таблетки Кальция глюконата оказываютвосполняющее дефицит кальция, противовоспалительное, противоаллергическое, гемостатическое действие. Участвует в передаче нервных импульсов, сокращении скелетных мышц и сердечной мышцы, формировании костной ткани, свертывании крови.


Показания

Гипопаратиреоз (латентная тетания, остеопороз), нарушения обмена витамина D: рахит (спазмофилия, остеомаляция), гиперфосфатемия у больных с хронической почечной недостаточностью.
Повышенная потребность в кальции (беременность, период грудного вскармливания, период усиленного роста организма), недостаточное содержание кальция в пище, нарушение его обмена (в периоде постменопаузы).
Усиленное выведение кальция (длительный постельный режим, хроническая диарея, вторичная гипокальциемия на фоне длительного приема диуретиков, противоэпилептических средств и глюкокортикостероидов).
Отравление солями магния, щавелевой и фтористой кислотами и их растворимыми солями (при взаимодействии с кальция глюконатом образуются нерастворимые и нетоксичные кальция оксалат и кальция фторид).
Гиперкалиемическая форма пароксизмальной миоплегии.

Противопоказания

Гиперчувствительность, гиперкальциемия (концентрация ионов кальция не должна превышать 12 мг% = 6 мЭкв/л), выраженная гиперкальциурия, нефроуролитиаз (кальциевый), саркоидоз, тяжелая почечная недостаточность, одновременный прием сердечных гликозидов (риск возникновения аритмий), детский возраст до 3 лет.
С осторожностью. Дегидратация, диарея, синдром мальабсорбции, умеренная хроническая почечная и/или сердечно-сосудистая недостаточность, гиперкоагуляция.
Пациентам с небольшой гиперкальциурией, с незначительными нарушениями функции почек или с мочекаменной болезнью в анамнезе препарат следует назначать с осторожностью и регулярно контролировать уровень экскреции кальция с мочой.
Если у Вас имеется одно из перечисленных заболеваний, перед приемом препарата обязательно проконсультируйтесь с врачом.

Побочные действия

Тошнота, рвота, диарея, брадикардия.


Взаимодействие

Фармацевтически несовместим с этанолом, карбонатами, салицилатами, сульфатами (образует нерастворимые или труднорастворимые соли Са 2+). Образует нерастворимые комплексы с антибиотиками тетрациклинового ряда (снижает антибактериальный эффект). При одновременном применении с хинидином возможно замедление внутрижелудочковой проводимости и повышение токсичности хинидина. Замедляет абсорбцию тетрациклинов, дигоксина, пероральных препаратов железа (интервал между их приемами должен быть не менее 2 ч).При сочетании с тиазидовыми диуретиками может усиливать гиперкальциемию, снижать эффект кальцитонина при гиперкальциемии, снижает биодоступность фенитоина.


Как принимать, курс приема и дозировка

Таблетки Кальция глюконата принимают внутрь, перед едой; взрослым — по 1-3 г 2-3 раза в день; детям до 1 года — 0,5 г 2-3 раза в день, 2-4 лет — 1 г, 5-6 лет — 1-1,5 г, 7-9 лет — 1,5-2 г, 10-14 лет — 2-3 г 2-3 раза в день.


Передозировка

Симптомы: развитие гиперкальциемии. 
Лечение: кальцитонин, внутривенно из расчета 5-10 ME/кг/сут (препарат разводят в 500 мл 0.9% раствора натрия хлорида, вводят капельно в течение 6 часов).


Специальные указания

Для снижения риска развития нефролитиаза рекомендуется обильное питье. 
Применение у пациентов с нарушениями функции почек: больным с незначительной гиперкальциурией, снижением клубочковой фильтрации или с нефролитиазом в анамнезе назначение должно проводиться с осторожностью и под контролем концентрации Са 2+ в моче.


Условия хранения

При температуре не выше 25 ˚С. Хранить в недоступном для детей месте.

Срок годности

5 лет. Не использовать по истечении срока годности, указанного на упаковке.

Действующее вещество

Условия отпуска из аптек

Без рецепта

Информация в Государственном реестре лекарственных средств

Штрих-код и вес

Штрих-код: 4601669007377, 4601669017130
Вес: 0.020 кг;

Кальция глюконат таблетки 500 мг 20 шт: 10 отзывов покупателей и фармацевтов

4.6

на основе 10 оценок

  • 🏪 Купить Кальция глюконат таблетки 500 мг 20 шт можно на сайте и в наших аптеках
  • 📲 Цена на Кальция глюконат таблетки 500 мг 20 шт ниже в нашем приложении
  • 📒 Подробная инструкция по применению Кальция глюконат таблетки 500 мг 20 шт

Формы выпуска  0

Пользователи также интересовались

Кальция глюконат
Длинный срок

Гротекс ООО, Россия

Цена от 151 руб.
Кальция глюконат-СОЛОфарм
Длинный срок

Гротекс ООО, Россия

Цена от 151 руб.

Страница носит информационный характер о наличии препаратов. Перед назначением и применением проконсультируйтесь с врачом


Доставка и самовывоз в Москве и области
Самовывоз в Москве из 3546 аптек

Документы Кальция глюконат таблетки 500 мг 20 шт

Информация о товаре, в том числе цена товара, носит ознакомительный характер и не является публичной офертой согласно ст.437 ГК РФ.

Согласно постановлению Правительства РФ от 16 мая 2020 N 697 "Об утверждении Правил выдачи разрешения на осуществление розничной торговли лекарственными препаратами для медицинского применения дистанционным способом, осуществления такой торговли и доставки указанных лекарственных препаратов гражданам и внесении изменений в некоторые акты Правительства Российской Федерации по вопросу розничной торговли лекарственными препаратами для медицинского применения дистанционным способом" доставка на дом из интернет-аптеки осуществляется для следующих категорий товаров и лекарственных средств: безрецептурные лекарственные средства, БАДы, медицинские изделия, товары для дома и красоты, бытовая химия и сопутствующие товары.

Доставка рецептурных лекарств, при наличии рецепта выписанного врачом, осуществляется до ближайшей аптеки.